Dikişsiz Çelik çekme borular
Dikişsiz çelik çekme borular, sıcak haddeleme veya soğuk çekme yöntemiyle tek bir parça halinde üretilen bir çelik boru türüdür. Bu yöntem sayesinde, borunun tamamı homojen bir yapıya sahiptir ve dikişsiz bir yüzeyi vardır. Çelik çekme borular, pek çok sektörde tercih edilen, sağlamlığı ile dikkat çeken bir üründür. Dikişsiz çelik boru olarak da adlandırılır, Dikişsiz çelik boru, su, doğal gaz, atık ve hava gibi sıvıların taşınmasında düzenli olarak kullanılmaktadır. Ayrıca petrol gazı, enerji üretimi ve ilaç endüstrileri gibi birçok yüksek basınçlı, yüksek aşındırıcı ortamda da düzenli olarak gereklidir. Karbon çeliği, ağırlıkça %2,1'e kadar karbon içeriğine sahip, karbon ve demir içeren bir alaşımdır. Karbon yüzdesindeki artış çeliğin sertliğini ve dayanıklılığını artıracak, ancak daha az sünek olacaktır. Karbon çeliği, sertlik ve mukavemet açısından iyi özelliklere sahiptir ve diğer çeliklerden daha ucuzdur.
Dikişsiz çelik boru, adından da anlaşılacağı gibi, dikişsiz veya kaynak dikişsiz bir borudur. Dikişsiz çelik boru, sıvılar ve gazlar (sıvılar), bulamaçlar, tozlar ve küçük katı kütleleri gibi akabilen maddeleri taşımak için kullanılan, genellikle ancak zorunlu olmayan dairesel bir kesite sahip boru şeklinde bir bölüm veya içi boş bir silindirdir.
DIN Standartlarına göre Dikişsiz Çelik Borularda Basınç Tablosu
Max. Test Pressure Value of Seamless Steel Pipes acc. DIN Standards


DİKİŞSİZ ÇELİK ÇEKME BORU CETVELİ


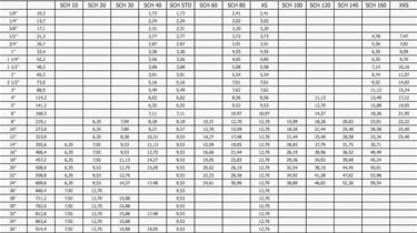
çelik çekme boru Amerikan standartlarına göre et kalınlığı
Çelik çekme borularda Amerikan standartlarına göre et kalınlığı(mm) ANSI /ASME 36.10 M - 1985


Çelik çekme borular nasıl üretilir
Dikişsiz çelik çekme boruların üretimi iki yöntem ile yapılır.
Sıcak çekim yöntemi: Boruların üretimi yüksek sıcaklık ve basınç altında şekillendirilmesi yöntemidir.
Soğuk çekim yöntemi: Boruların üretimi daha düşük sıcaklık ve basınç altında şekillendirilmesi yöntemidir.


Dikişsiz çelik çekme boruların üretimi aşamaları
Kütük (Dolu mil) seçimi
Muayene ve kontrol edilmesi
Kesme işlemi
Isıtma işlemi
Delme işlemi
Uzatma, Germe işlemi
Doğrultma işlemi
Temiz kesme işlemi
Elektromanyetik girdap akımı testten geçmesi
Ultrasonik testten geçmesi
Yüzey ve boy testi yapılması
Hidrostatik test yapılması
Kg bilgisini almak, boru boyunu ölçmek
Markamala ve paketlemek
Sevk etmek


Çelik borularda Standart Ve Tanımlar
ASTM A106 : Dikişsiz Çelik Borular, Yüksek Sıcaklığa Dayanıklı
ASTM A 53 : Dikişsiz ve Dikişli Çelik Borular
API 5L : Petrol Hat ( Nakil) Boruları
API 5CT : Petrol Sondaj (Casing) Boruları
PSL1 : Hat borusu olarak normal standart kalite
PSL2 : Psl1'e göre farkı birçok kimyasal ve mekanik testen geçmiş olmasıdır.
DIN 2448 : Dikişsiz Çelık Çekme Boru Ebad ve Ağırlıkları
DIN 17172 / EN 10208-2 : Dikişsiz Çelik Borular, Yanıcı Sıvı ve Gazların Nakli için
DIN 17175 / EN 10216-2 : Dikişsiz Çelik Borular, Yüksek Isıya Dayanıklı Çelik Borular
DIN 1629 / EN 10216-1 : Dikişsiz Çelik Borular, Alaşımsız, Basınç amaçları için
DIN 2391 / EN 10305-1 : Dikişsiz Çelik Borular, Soğuk Çekme, Presizyonlu ( Hassas )
DIN 2440 / EN 10255-M : Dikişsiz ve Dikişli Çelik Borular, Orta Ağırlık Serisi, Vida Dişi Açılabilir
DIN 2441/ EN 10255-H : Dikişsiz ve Dikişli Çelik Borular, Ağır Seri, Vida Dişi Açılabilir
ASTM A179 : Soğuk Çekme Dikışsiz Çelik Boru, Isı Eşanjör ve Kondenser Boruları
ASTM A192 : Dikişsiz Çelik Borular, Yüksek Basınç Şartları için Kazan Boruları
ASTM A210 : Dikişsiz Çelik Borular, Kazan ve Kızdırcı Boruları
ASTM A333 : Dikişsiz ve Dikişli Çelik Borular, Düşük Sıcaklık Şartları için
ASTM A519 : Dikışsiz Çelik Borular, Alaşımsız ve Alaşımlı Mekanik Borular
ASTM A524 : Dikişsiz Çelik Borular, Fabrika - Proses Borulandırmaları için
BS 3601 : Dikişsiz Çelik Borular, Basınç ve Genel Kullanım Amaçlı
BS 3059 : Dikişsiz Çelik Borular, Kazan ve Kızdırıcı Boruları
BS 1387 : Dikişsiz ve Dikişli Çelik Borular, BS 21 Boru Dişi Açılabilir
TS 301 : Çelik Borular, Dikişsiz ve Dikişli, Vida Dişi Açılabilir
TS 302 : Dikişsiz Çelik Borular, Yüksek Presizyonlu ( Hassas )
TS 346 : Dikişsiz Çelik Borular, Yüksek Sıcaklık ve Basınca Dayanıklı
Çelik çekme borular nerelerde kullanılır
Çelik çekme borular petrol boru hatları, doğal gaz boru hatları, su dağıtım hatları ve endüstriyel boru ağları, yaygın olarak kullanılmaktadır.
Aynı zamanda çelik çekme borular çelik yapılarda, rafinerilerde, gemi endüstrisi ve özel amaçlı kullanımlarda da ön plana çıkmaktadır.
Ayrıca petrol gazı, enerji üretimi ve ilaç endüstrileri gibi birçok yüksek basınçlı, yüksek aşındırıcı ortamda da düzenli olarak kullanılmaktadır.

























